Tradicionalmente el salario mínimo interprofesional se empleó como medida de referencia del nivel de renta. Muchas leyes establecían como un requisito que la renta no superase un determinado número de veces el SMI. Desde la aprobación en 2004 del Indicador Público de Renta de Efectos múltiples (IPREM ), éste ha venido a sustituir al.. En cumplimiento del mandato al Gobierno para fijar anualmente el salario mínimo interprofesional, contenido en el artículo 27.1 del texto refundido de la Ley del Estatuto de los Trabajadores aprobado por el Real Decreto Legislativo 2/2015, de 23 de octubre, se procede mediante este real decreto a establecer las cuantías que deberán regir a partir del 1 de enero de 2019, tanto para los.

Salario mínimo interprofesional para 2018 ECO HACIENDA

Salario Mínimo Interprofesional y Convenios Colectivos López Colmenarejo

salario minimo interprofesional 2018 YouTube

¿Qué es el salario mínimo interprofesional? Blog Oney

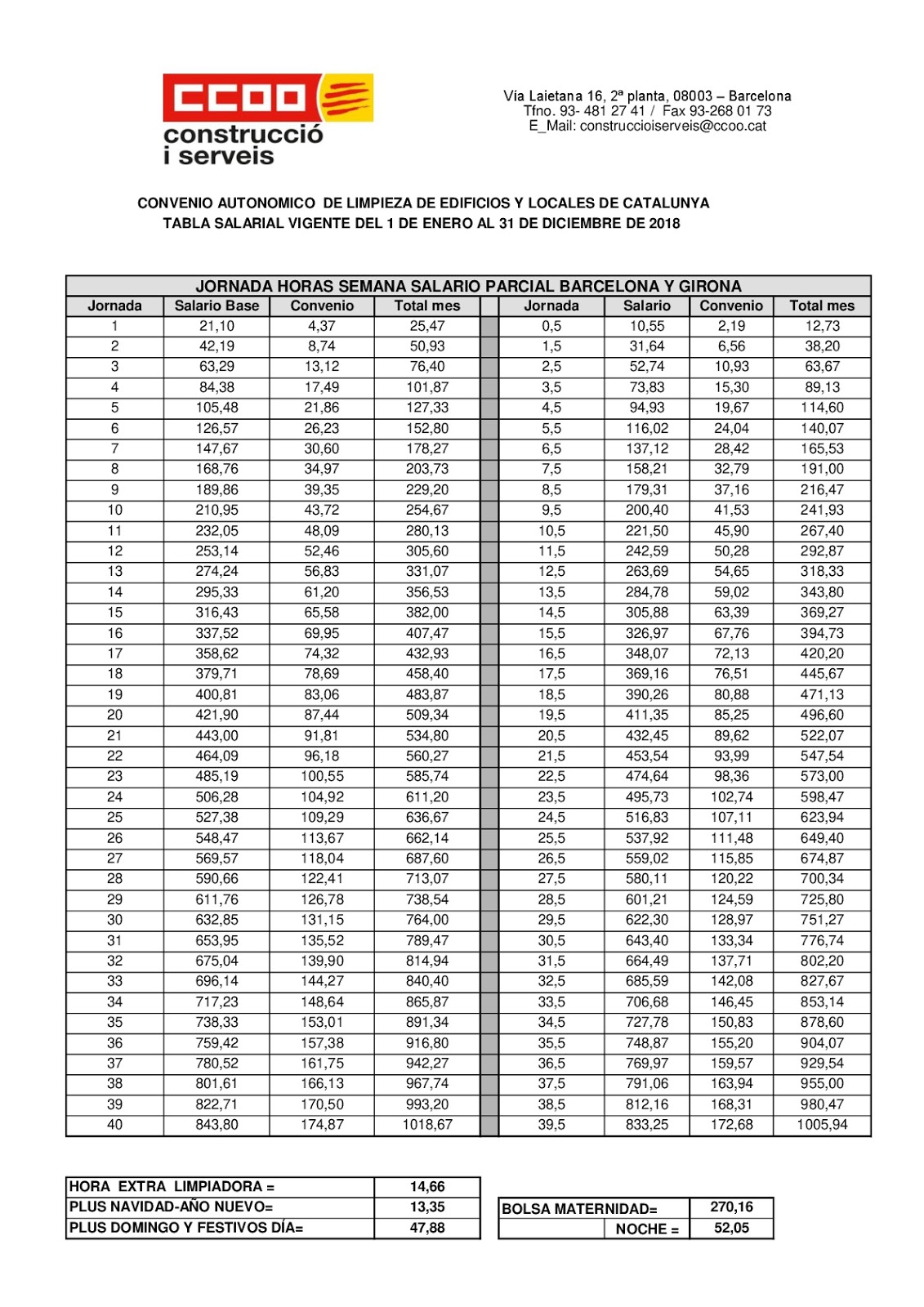
Tu Informacion Laboral Tablas salariales Convenio limpieza de

Salario mínimo interprofesional 2018 ASETRA SEGOVIA

TABLAS SALARIALES CONVENIO LIMPIEZA EDIFICIOS Y LOCALES BIZKAIA CGT

Nuevo Salario Mínimo Interprofesional (SMI) para el año 2018 ASEXTEAC

¿Cual es el Salario Mínimo Interprofesional en España en 2023?

Tu Informacion Laboral Tablas salariales Convenio limpieza de

Subida del Salario Mínimo Interprofesional CEESA,S.A.

Convenio Colectivo Limpieza de Edificios y Locales CCOO App

FIRMADO EL CONVENIO COLECTIVO SECTOR DE LIMPIEZA DE EDIFICIOS Y LOCALES

Salario Mínimo Interprofesional 2021 (SMI) GraduadoSociales.es

El sector de la limpieza de la provincia se planta para exigir un

Convenio Colectivo Limpieza de Edificios y Locales CCOO App

Así ha evolucionado el salario mínimo en España — idealista/news

Veinte grandes convenios sectoriales estatales deberán subir su salario

Aprobado el nuevo Salario Mínimo Interprofesional, que se eleva a 1.080

Salario Mínimo Interprofesional en España, 30 euros/día desde el 1 de
El Real Decreto 1462/2018, de 21 de diciembre, por el que se fija el salario mínimo interprofesional para 2019, es de aplicación obligatoria y general a todos los contratos públicos cualquiera que sea la entidad del sector público de que procedan. Las reglas contenidas en el Real Decreto 1462/2018, de 21 de diciembre, se aplicarán desde el.. Imprime la página completa. La legalidad, veracidad y la calidad de la información es estricta responsabilidad de la dependencia, entidad o empresa productiva del Estado que la proporcionó en virtud de sus atribuciones y/o facultades normativas.